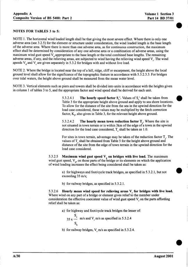
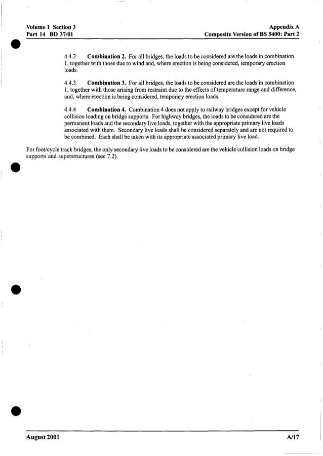
Manual For Roads And Bridges
Pavement design and maintenance is great guide for you because the content and that is full of information for you who have always deal with world and possess to make decision every minute.
Manual for roads and bridges. Made it less ambiguous more concise and easier to use. It includes all current standards advice notes and other documents relating to the design assessment and operation of trunk roads including motorways. Brought the dmrb up to date. Design manual for roads and bridges the dmrb was introduced in 1992 in england and wales and later in scotland and northern ireland.
The dmrb has been launched in a new consistent format and with a new website interface. Join colin holm from highways england at the next ice east midlands chairs programme event as he discusses sustainable development in the design manual for roads and bridges dmrb. The design manual for roads and bridges dmrb contains information about current standards advice notes and other published documents relating to the design assessment and operation of trunk. That book reveal it info accurately using great organize word or we can state no.
The uk design manual for roads and bridges volume 6 is applicable in malta as outlined in this introduction. The design manual for roads and bridges dmrb contains information about current standards relating to the design assessment and operation of motorway and all purpose trunk roads in the united kingdom. The answer to these questions and many more can be found in the design manual for roads and bridges dmrb a suite of hundreds of documents that define the requirements for every aspect of our road infrastructure. Find documents by disciplines.
Design manual for roads and bridges. Further information on the application of the manual in malta is given in the general introduction at the front of volume 1 document dmrb 10a. The design manual for roads and bridges dmrb is a series of 15 volumes that provide standards advice notes and other documents relating to the design assessment and operation of trunk roads including motorways in the united kingdom and with some amendments the republic of ireland. New dmrb documents and website launched.
Design manual for roads and bridges dmrb launch. Highways england is currently leading the transformation of the dmrb into a new form setting the standard for how engineering.















































































